Was ist die mittlere Betriebsdauer zwischen Ausfällen (MTBF) für Datenerfassungssysteme?
Die Suche nach einem geeigneten Datenerfassungsgerät kann lang und komplex sein. Während des Entscheidungsprozesses müssen viele verschiedene Aspekte berücksichtigt werden. Der MTBF-Wert spielt hierbei oft eine wichtige Rolle. Er gibt die durchschnittliche Betriebszeit eines Systems zwischen Ausfällen oder Stillstandzeiten an. In diesem Blogbeitrag werden wir uns nun diesen Wert genauer ansehen und Ihnen hilfreiche Praxistipps mit auf den Weg geben.
Was ist MTBF?
Mean Time Between Failures (kurz MTBF) ist die englische Bezeichnung für die mittlere Betriebsdauer zwischen Ausfällen. Sie beschreibt die voraussichtliche Zeitspanne zwischen Ausfällen eines mechanischen oder elektronischen Systems während des Standardbetriebs. Die MTBF ist in der IEC 60050 genormt und wird als “der Erwartungswert der Betriebszeit zwischen zwei aufeinanderfolgenden Ausfällen” definiert.
Abbildung 1: Grafische Darstellung des Betriebszustands eines Systems über eine bestimmte Zeit.
Mathematisch kann die MTBF mit der folgenden Gleichung beschrieben werden:
![]()
Formel (1)
Wichtig: MTBF beschreibt die mittlere Zeit zwischen reparablen Ausfällen. Die durchschnittlich verstrichene Zeit für nicht reparable Ausfälle wird mit einem anderen Begriff angegeben: die sogenannte MTTF – Mean Time to Failure. In diesem Artikel werden wir uns jedoch auf die MTBF konzentrieren, mit dem Schwerpunkt auf Datenerfassungssysteme.
MTBF für Datenerfassungssysteme
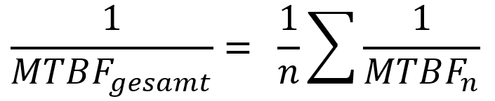
Bei der Betrachtung der MTBF von Datenerfassungssystemen muss man zwischen der MTBF für die Datenerfassungskomponenten und der MTBF für das Chassis unterscheiden. Bei PC-basierten All-in-One-Datenerfassungsgehäusen sind die kritischsten Komponenten für die MTBF-Berechnung immer das Display und die Stromversorgung. Beide Komponenten haben normalerweise eine MTBF von 100 000 Stunden. Die folgende Gleichung bestimmt die kombinierte MTBF mehrerer Komponenten, die alle für die korrekte Funktionalität des Systems wichtig sind, wobei n für die Anzahl der Komponenten steht:
![]()
Formel (2)
Die Berechnung der kombinierten MTBF eines Displays und eines Netzteils mit jeweils 100 000 Stunden MTBF ergibt 50 000 Stunden kombinierte MTBF.
Aber warum haben Displays und Netzteile eine MTBF von 100 000 Stunden?
Der Grund für das Display ist die LED-Hintergrundbeleuchtung, welche sich mit der Zeit abnutzt. Nach 3,5 Jahren Dauerbetrieb ohne Bildschirmschoner hat das Display nur noch die halbe Leuchtkraft. Mit einem aktiven Bildschirmschoner hält es länger. Der Grund für das Netzteil ist die Abnutzung des integrierten Lüfters. Das Netzteil selbst kann aber sehr einfach ausgetauscht werden.
Praxis-Beispiel: “Berechnung der MTBF eines DAQ-Chassis“:
In dieser Fallstudie berechnen wir die MTBF eines DEWETRON Datenerfassungssystems. Das DEWE3-A4L ist ein All-in-One Datenerfassungssystem für Anwendungen mit kontinuierlicher Hochgeschwindigkeitsaufzeichnung. Es kann mit 32 analogen Messeingängen ausgestattet werden und verfügt über ein integriertes 15,6″ Multi-Touch-Display.
Für alle Komponenten in einem DEWETRON DEWE3-A4L-Gehäuse ergibt sich mittels Gleichung (2) eine MTBFgesamt von 28 968 Stunden (~3,3 Jahre). Das bedeutet, dass ein DEWE3-A4L Chassis voraussichtlich ~3,3 Jahre dauerhaft ohne Fehler laufen wird. Üblicherweise wird jedoch ein Datenerfassungssystem wie der DEWE3-A4L nicht im 24/7-Betrieb eingesetzt. Wenn man davon ausgeht, dass das System ~8 Stunden pro Arbeitstag verwendet wird, kann es ~10 Jahre lang ohne einen Ausfall verwendet werden. Nach dieser Zeit ist es wahrscheinlich, dass entweder die Stromversorgung oder das Display ausgetauscht werden muss. Dies ist nach 10 Jahren eine vertretbare Instandhaltungsmaßnahme, die keine großen Investitionen erfordert.

Figure 1: DEWE3-A4L
Praxis-Beispiel: “Berechnung der MTBF eines DAQ-Moduls”:
Die MTBF des Datenerfassungsmoduls wird hierbei separat angegeben. Für dieses Beispiel haben wir die MTBF eines Datenerfassungsmoduls von DEWETRON berechnet. Das TRION3-1820-MULTI-4-D Modul kann in ein DEWETRON DAQ-System wie den DEWE3-A4L eingesetzt werden und ermöglicht dem Anwender, Daten über 4 Kanäle mit 2 MS/s zu messen.
Die TRION3-1820-MULTI-4-D Karte hat eine MTBF von 196 187 Stunden (~15,8 Jahre). Geht man von einer 8-stündigen Nutzung pro Tag aus, ergibt sich eine Lebensdauer von ~47 Jahren.

Figure 2: TRION-1820-MULTI-4-D
Bitte beachten Sie, dass die Kalibrierung hier nicht berücksichtigt wird. Um die Genauigkeit gewährleisten zu können, muss das System in regelmäßigen Abständen kalibriert werden. DEWETRON garantiert die angegebene Eingangsgenauigkeit für 1 Jahr bei 23 °C ± 5 °C.
Zusammengefasst:
MTBF ist eine statistische Größe, die die Zeit zwischen reparablen Ausfällen angibt. Sie beschreibt nicht die Mindestlebensdauer eines Systems. In der Designphase wird die MTBF als Indikator verwendet, um die Ausfallrate eines kombinierten komplexen Systems zu bewerten und gegebenenfalls andere Komponenten auszuwählen. In der Betriebsphase kann die MTBF helfen, zu beurteilen, ob ein fehlerhaftes System repariert oder ersetzt werden sollte. Weiters erleichtert die MTBF auch die zeitliche Planung von Wartungsarbeiten oder der Beschaffung von Ersatzteilen.